本文系统阐述了残余应力的定义、分类、理论基础、计算公式及其对材料性能的影响,旨在为工程技术人员和研究人员提供关于残余应力的系统性知识框架和实践指导。
残余应力是指材料在无外力或热梯度作用下仍存在的内部应力,通常由制造过程引起的不均匀变形或约束导致。这些应力在结构件服役过程中与外部载荷共同作用,影响材料的性能和寿命。
薄膜中残余应力的分类、成因以及薄膜残余应力的两种基本状态
从热力学角度理解,残余应力代表了材料内部储存的一种弹性能。当材料经历不均匀的塑性变形或相变时,不同区域之间的变形不协调导致内部应力的产生。
即使在去除所有外部约束后,这些应力依然存在,形成自平衡的应力系统。残余应力系统必须处于静力平衡状态,即合力和力矩为零,这是残余应力场的一个基本约束条件。
从物理本质上看,残余应力的产生源于材料内部不同区域之间的变形不协调。当某些区域发生了塑性变形而周围材料未能同步变形时,弹性约束作用便会在材料内部建立应力场。这种应力场的存在使得材料处于较高的能量状态,从而影响其力学行为和化学稳定性。
二、残余应力的分类 (一)按尺度分类
残余应力的尺度分类是理解其物理意义和选择测量方法的重要基础。根据作用范围的大小,残余应力通常分为三个层级:宏观应力、微观应力和原子尺度应力。
宏观应力是指作用范围较大、在宏观尺度上均匀分布的残余应力,其作用范围远大于晶粒尺寸。这类应力通常与整体变形有关,如热处理过程中由于温度梯度导致的整体变形、机械加工过程中由于切削力引起的宏观变形等。
微观应力的作用范围在晶粒尺度或更小,可能与晶界、相界面、位错、晶格缺陷等有关。这类应力通常表现为晶粒尺度的应力偏差,反映了材料内部不同相或不同取向晶粒之间的相互作用。
由材料中的不匹配所产生的残余应力类型。图中所示的所有应力均被分类为宏观应力和微观应力
原子尺度应力的作用范围在原子尺度,与晶格缺陷直接相关。这类应力反映了晶格畸变程度,对材料的扩散行为、相变动力学等具有重要影响。
此外,一些文献还提及"伪宏观应力"或"相宏观应力"等更细致的分类 ,反映了学术界对残余应力尺度效应认识的不断深入。
两相(α相和β相)材料中的三阶应力
(二)按来源分类
从产生机理的角度,残余应力可分为热应力、机械应力、化学应力和相变应力等多种类型。
热应力是最常见的残余应力类型之一,主要由不均匀的温度分布引起。当材料经历加热或冷却过程时,由于不同区域的热膨胀系数差异或温度梯度导致的不均匀热变形,会产生热应力。如果热应力超过了材料的屈服强度,将导致塑性变形,进而在冷却后形成残余应力。
机械应力由外部机械载荷引起的不均匀塑性变形产生。在冷加工、锻造、轧制、机械切削等过程中,材料表面或局部区域受到超过屈服强度的机械载荷作用,发生塑性变形,而周围材料保持弹性状态,从而在去除载荷后形成残余应力场。
化学应力与材料内部的化学成分变化有关。当表面层的化学成分发生变化时,由于溶质原子与基体原子尺寸差异引起的晶格畸变,会产生化学应力。此外,腐蚀过程中的选择性溶解也可能引起化学残余应力。
相变应力产生于固态相变过程。当材料在热处理过程中发生相变时,由于新相与母相之间的比容差异,会产生相变应力。
从应力的方向性质来看,残余应力可分为压应力和拉应力两大类。
残余压应力通常对材料的疲劳性能和应力腐蚀抗力产生有利影响。当材料表面存在残余压应力时,它可以抵消或部分抵消外加拉伸载荷,降低实际承受的拉应力水平,从而延缓疲劳裂纹的萌生和扩展。
残余拉应力则往往对材料性能产生不利影响。残余拉应力会与外加拉伸载荷叠加,增加材料实际承受的拉应力水平,加速疲劳裂纹的萌生和扩展,促进应力腐蚀开裂,降低结构的承载能力和使用寿命。
压应力和拉应力的示意图
三、残余应力的理论基础与计算公式 1. 弹性理论基础
残余应力的理论分析建立在弹性力学基础之上。尽管残余应力的产生往往涉及塑性变形,但在分析残余应力状态时,通常将其视为弹性应力场来处理。
残余应力与应变之间的关系通常由广义胡克定律描述,即线弹性理论 。对于各向同性材料,广义胡克定律可表示为:
其中, εij是应变张量分量, σij是应力张量分量, E是杨氏模量, v是泊松比, δij是克罗内克符号。
这一关系式是残余应力测量和分析的理论基础。无论是通过X射线衍射测量晶格应变,还是通过有限元分析计算应力分布,都需要用到这一基本关系。
残余应力场必须满足静力平衡条件,这是其本质特征之一。具体而言,残余应力系统必须处于静力平衡状态,即合力和力矩为零 。
对于任意体积V及其表面S,平衡条件可表示为:
这两个方程分别表示力和力矩的平衡条件。这些平衡条件对于理解残余应力的分布特征具有重要指导意义。
例如,如果在构件的某一区域存在残余压应力,则必然在另一区域存在残余拉应力与之平衡,以保持整体的静力平衡。
多晶材料中沿若干晶粒的总残余应力分布及其在一阶、二阶和三阶残余应力中的分解
3. 主应力计算
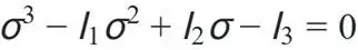
为了简化分析并突出应力状态的主要特征,常常需要计算主应力。主应力是作用在主平面(剪应力为零的平面)上的正应力。主应力的大小σ1,σ2,σ3(按代数值排序σ1≥σ2≥σ3)通过求解应力张量的特征方程得到:
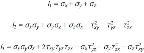
其中,l1,l2,l3为应力张量的第一、第二、第三不变量:
单相材料 (a) 与多相材料 [4] 中 I 型、II 型和 III 型残余应力的定义
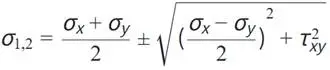
对于平面应力状态(一个主应力为零,如σz=τXZ=τyZ=0),主应力计算可简化为:
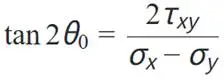
主应力方向由下式确定:
确定主应力大小和方向对于评估残余应力对结构失效的影响至关重要,因为许多失效准则直接依赖于主应力。
四、残余应力对材料的影响 1. 残余应力对材料疲劳性能的影响
残余应力对材料疲劳性能的影响是其最重要的工程意义之一。大量研究表明,残余应力对材料性能有显著影响,可能有益或有害。
残余压应力提升疲劳寿命的机理可以通过断裂力学理论来解释。当材料表面存在残余压应力时,它在裂纹尖端区域与外加拉应力方向相反,抑制裂纹扩展,从而延长材料的疲劳寿命。
残余压应力能够降低表面区域的等效拉应力水平,从而延长裂纹萌生寿命。研究表明,残余压应力的大小、深度和分布是决定材料抗疲劳性能的关键参数。
然而,残余拉应力对疲劳性能的影响则恰恰相反。残余拉应力会增加裂纹尖端的应力强度因子,加速疲劳裂纹的扩展。
材料内部应力分量的表示方法,以及残余应力(拉应力 vs 压应力)对裂纹扩展的影响
2.对材料应力腐蚀开裂的影响
应力腐蚀开裂是材料在拉应力和特定腐蚀介质共同作用下发生的一种脆性断裂形式。残余应力在应力腐蚀开裂过程中扮演着关键角色。
当材料表面存在残余拉应力时,即使没有外加应力,也可能在腐蚀介质的作用下发生应力腐蚀开裂。这是因为残余拉应力本身就是一个恒定的应力源,它能够促进腐蚀介质向裂纹尖端的渗透,加速阳极溶解过程,从而促进应力腐蚀裂纹的萌生和扩展。
相反,残余压应力对抑制应力腐蚀开裂具有积极作用。残余压应力能够降低或消除表面拉应力,从而减小应力腐蚀开裂的驱动力。
残余应力对构件的尺寸稳定性具有重要影响,这在精密机械和仪器制造领域尤为关键。
当残余应力与外加载荷叠加时,可能引起材料的局部塑性变形,导致构件形状和尺寸的变化。此外,残余应力本身在长期服役过程中也可能发生松弛,同样会引起尺寸变化。
因此,在精密制造领域,对构件进行去应力退火、振动时效等处理以消除残余应力,是保证产品尺寸稳定性的重要措施。
残余应力不仅影响构件的服役性能,还会影响后续加工过程的精度。当含有残余应力的材料被切削或去除一层材料后,原本的应力平衡被打破,材料会发生变形以达到新的平衡状态。这种变形会导致加工精度下降,严重影响产品质量。
残余应力是工程材料与结构中一种不可忽视的内禀属性,深刻理解残余应力对材料性能的双重影响,是“用好”它的前提。
未来,残余应力研究将与智能制造、数字化设计深度融合,为提升材料工程结构的安全可靠性和使用寿命提供重要支撑。
免责声明:本网站所转载的文字、图片与视频资料版权归原创作者所有,如果涉及侵权,请第一时间联系本网删除。
官方微信
《腐蚀与防护网电子期刊》征订启事
- 投稿联系:编辑部
- 电话:010-62316606
- 邮箱:fsfhzy666@163.com
- 腐蚀与防护网官方QQ群:140808415


























