海洋是地球上极具挑战性的极端环境之一,其中的高盐度海水、盐雾腐蚀介质、强紫外线辐射以及海洋微生物附着等多重因素,对各类海洋装备材料的性能和服役寿命构成了巨大的威胁。
防腐蚀涂层可以有效屏蔽腐蚀性介质,是最常用的海洋装备防腐蚀手段之一,可以为金属基体提供长效保护。
海洋装备用防腐蚀涂层不仅需具备优异的防腐蚀性能,还应能在海洋复杂环境中长期抵御海洋环境的侵蚀,从而保障海洋装备在服役周期内的的安全运行。然而,防腐蚀涂层长期暴露在各种腐蚀环境中会发生性能劣化,需要定期进行涂层修复。
作为涂层可靠性评价的重要指标,防腐蚀涂层的寿命事关海洋装备的服役期限与运行安全,因此防腐蚀涂层寿命预测始终是腐蚀与防护学科领域的关键技术之一。
然而,迄今为止尚未形成具有说服力的定量方法来描述涂层寿命影响因素与涂层防护性能之间的内在关联,涂层寿命预测也一直是困扰工业腐蚀防护领域的世纪难题。
为了攻克海洋装备防腐蚀涂层寿命预测这一关键技术难题,科研工作者不断探索各种方法和技术。从传统经典的加速老化试验,到基于物理模型和数学模型的预测方法,再到近年来兴起的机器学习智能预测技术,海洋工程领域的研究者们正致力于寻找更加准确、可靠的预测手段。
1涂层加速老化试验
寿命预测是腐蚀与防护学科中极具挑战性的研究课题,尤其是针对影响因素复杂的防腐蚀涂层体系。目前虽已建立诸多基于涂层加速老化试验的涂层防护性能表征指标,但无法依据涂层在特定腐蚀环境中的耐受时间直接判定其服役寿命。
究其原因,防腐蚀涂层在自然环境中的失效是多阶段老化历程的综合效果,而现有寿命预测方法通常需要对涂层进行加速老化试验,该过程可能会改变涂层的失效机制。
因此,加速老化试验中涂层的老化历程与自然环境中的相近程度,直接决定了寿命预测结果的参考价值。
加速老化试验设计的理论依据
对于涂层/金属体系,涂层在自然环境中的服役寿命T通常由三个阶段的时间决定:
① ts:腐蚀性电解质侵入涂层的时间;
② tc:腐蚀性电解质在涂层中扩散的时间;
③ ti:腐蚀性电解质与金属基体接触并引发电化学腐蚀。
上述阶段完成后,涂层/金属体系宏观上才会出现起泡、剥落和锈蚀等失效特征。可以表示为:T=ts+tc+ti。
ts取决于涂层表面状态;tc与涂层孔隙率和厚度相关;ti由涂层/金属界面状态决定。
涂层寿命评价中,提升腐蚀性电解质浓度可明显缩短ts,且不会明显改变其侵入机制,通过电化学方法可加速ti;但加速电解质在涂层基体内的扩散过程(即tc阶段)是加速老化试验的难点问题。
电解质扩散的理论依据
电解质在涂层基体内的扩散过程符合Fick第二定律:
电解质浓度c沿深度z的分布与暴露时间t和扩散系数D均有关,加速试验的关键在于提升扩散系数D,且不引起失效机制发生变化。
涂层性能评估与失效判定
在老化过程中,涂层的物理和化学特性也会发生综合变化,常用的涂层防护性能评估指标包括:失光率、色差、生锈、附着力、起泡、涂层电阻和低频阻抗模量等。
理论上,预测防腐蚀涂层寿命应基于涂层降解和失效机理,量化相关机理参数,从而构建寿命表征函数。
涂层寿命预测试验通常需要持续到涂层失效,但目前涂层防护寿命尚无统一定义。因此,失效判定标准的选择对寿命预测结果至关重要,一般结合金属基材起泡、锈蚀等目测结果确定涂层防腐蚀性能的失效判据。
海洋环境因素的协同老化效应
涂层降解和金属基材腐蚀受阳光照射、盐分富集、干湿交替和冷热循环等多种自然因素的综合作用。不同环境因素的协调效应对涂层的影响远大于单一影响因素作用的简单叠加;以海洋环境为例,紫外线引发树脂分子交联键断裂后,其很容易发生水解,水解后的树脂分子从涂层表面剥离,进而促进紫外线对新暴露涂层表面的氧化。
在涂层干湿交替过程中,水分携带盐分侵入涂层基体并形成盐分富集,盐分不仅会扩大涂层孔隙,还会增大孔隙和缺陷处的渗透压,进一步促进下一润湿周期水分向涂层内部渗入。
实践案例
基于环境因素的协同效应,设计合理的加速老化试验方法,可更精准地预测有机涂层的降解规律。
FENG等采用采用5% NaCl溶液浸泡结合紫外线A(UVA)加速试验研究环氧树脂的降解过程,结果表明,在忽略其他次要因素的前提下,该加速试验的加速效应约是厦门海岛自然环境中的20倍。
有学者通过交流(AC)-直流(DC)-AC循环试验、中性盐雾试验和自然浸泡试验加速涂层老化,借助电化学阻抗谱(EIS)、激光显微镜、扫描电镜、附着力测试和能谱仪分析涂层的降解机制,发现AC-DC-AC试验中的直流阶段包含交替的阳极极化和阴极极化,可以复现涂层在自然暴露过程中的电化学行为、表面形貌和腐蚀产物特征。
SHREEPATHI等将EIS测试数据与涂层的实际使用寿命(市场维修周期)联系起来,使用ASTM B117标准对涂层体系进行加速老化试验,当涂层在0.1 Hz频率下的阻抗模值小于106 Ω·cm2时,判定涂层失效,并推算ASTM B117标准中试验750小时相当于在C4腐蚀环境中使用1年。
试验技术难点
涂层老化影响因素的复杂性,导致涂层寿命预测试验的重现性成为技术难点;此外,现场服役的涂层往往不处于“理想状态”,偶然因素易引发局部失效而非均匀失效,因此加速老化试验预测的涂层寿命通常大于其实际服役寿命。
尽管如此,加速老化试验数据仍具备参考价值,通常用于特定环境中待选涂层防护性能的排序,可为涂层选型提供依据。
2涂层寿命预测方法
01数学模型
涂层失效过程非常复杂,现有涂料失效行为的研究方法相对有限,难以构建基于物理机理的精准模型。
相比之下,数学模型无需依赖复杂的物理机理建模,而是依托采集的涂层状态监测数据进行寿命预测:通过拟合涂层状态监测数据、老化后涂层材料特性与服役寿命之间的关系构建预测模型,再借助监测数据与涂层特性的内在联系,实现对涂层寿命的有效预判。
目前,应用于涂层寿命预测的主流数学方法主要基于灰色系统与人工神经网络。
灰度模型
灰色系统理论(GST)适用于构建因素较多且输出结果确定的模型。基于该理论的灰度模型能够充分利用现有数据,从有限的样本数据中实现对不确定系统未来发展趋势的预测。GM(α,β)模型是灰度预测模型的核心,其中α是微分方程的阶数,β是变量的个数。
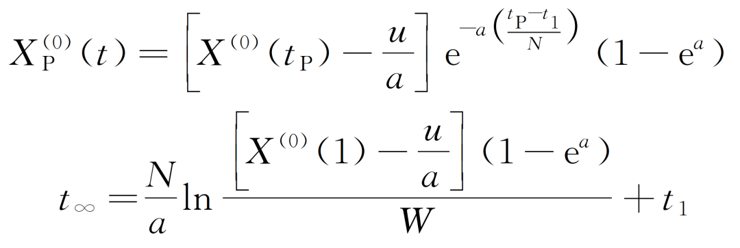
MENG等基于GM(1,1)模型建立了湿附着力数学模型,定义X(0)为涂层/金属体系在不同浸泡时间下的湿附着力,W为涂层失效的湿附着力临界值,可得涂层寿命预测公式为:
为评估模型预测的准确性,前12组原始数据用于建模,后4组数据用于模型验证。结果表明,相较于对数拟合结果,灰度模型的预测结果与试验实测值更吻合。
LIU等使用GM(1,1)模型建立了基于腐蚀面积发展趋势的涂层寿命预测模型,并将腐蚀面积达到阈值s作为涂层服役寿命终止的判定依据。
使用该预测模型计算某钢拱桥的腐蚀面积,预测数据与实测数据误差小于8%,模型具有较好的拟合精度和可靠性。
GM(1,1)灰度模型是涂层寿命预测领域应用最为广泛的模型之一,该模型仅需单一输入变量,所构建的寿命预测模型仅适用于特定腐蚀环境,可基于涂层短期暴露试验数据推算其长期服役性能。
人工神经网络
人工神经网络(ANN)作为一种高效的数据驱动建模方法,凭借其自学习能力、非线性映射能力和任意函数逼近能力,被认为是材料性能评估和预测领域极具发展前景的工具。
ANN是对生物神经网络的简化和模拟,作为一个基于经验数据的模型,它通过模拟大脑的信息处理机制进行经验学习,辨别数据集中的内在关联,并抑制异常数据的干扰,能够便捷地处理奇异、不完整或不一致的数据。
根据信息流传递方向,ANN可分为前馈型、反馈型和递归型三类,其中前馈型网络结构在腐蚀研究领域应用最为普遍和广泛。
KUMAR等采用中性盐雾试验对涂层进行加速老化测试,依据A MIL-C-5541E性能标准判定涂层老化程度,并将观察到的5个腐蚀点作为涂层失效的判定阈值。为预测涂层的耐盐雾腐蚀性能,该研究以电化学阻抗谱数据作为输入项,开发了4个独立的ANN模型,每个模型分别提取EIS数据中的不同特征参数。 输入数据选取10个特征频率点。为便于在ANN软件中进行运算处理,对EIS数据进行了标准化处理,使其数值范围映射至[0,1]区间,具体标准化规则如下:
经上述处理得到的标准化数据集被分划为训练集、验证集和测试集三个子集:训练集用于神经网络的模型训练,验证集用于判定训练终止的依据,测试集用于全面评估神经网络的整体性能。对4个不同的ANN模型依次进行训练、验证和测试,其中引入相位角的三层前馈神经网络模型对涂层盐雾腐蚀性能的预测精度更优。
TIAN等提出了基于交变静水压力加速试验的涂层降解预测方法,并建立了反向传播人工神经网络(BP-ANN)用于涂层寿命预测。该模型以静水压力和涂层阻抗模值作为输入变量,浸入时间作为输出变量,经模型训练后对涂层寿命进行预测,验证样本的预测平均准确率为84.8%。
XU等提出了一种改进型降解动力学模型,并针对AF1410高强钢有机涂层,构建了适用于紫外、热冲击、低温疲劳和盐雾复合环境试验中的Kohonen神经网络分类模型。与改进型降解动力学模型相比,Kohonen神经网络分类模型可直接分析电化学阻抗谱,既规避了等效电路选型的问题,又兼顾了阻抗在多频率下的变化特性,最终显著降低了预测误差。
ANN通过迭代调整权重和阈值完成学习过程,以最小化预测输出与实际输出的误差。该模型输入变量丰富,且能够抑制异常信息的干扰;但其在ANN训练过程中易出现“过拟合”现象,即训练集误差被降至极低水平,而将训练后的网络应用于新输入数据时,预测误差会显著增大,因此需要在适当的训练节点终止训练过程。
02
物理模型
涂层寿命预测物理模型是近几年研究的重点,考虑涂层失效的物理机理,以影响涂层老化的主要因素为输入变量,忽略次要因素,建立涂层老化特征参数随时间变化的物理模型,设定涂层老化参数的失效临界值,据此预测涂层服役寿命。
基于阻抗特征的寿命预测模型
聚焦以涂层低频阻抗为核心表征参数的物理模型,通过阻抗变化规律量化涂层老化程度,进而实现寿命预测。
YONG等基于等效原理建立了加速试验与自然暴露之间的等效关系,并借助该关系预测了涂层/铝合金体系在海洋大气环境中的服役寿命。同时,该研究基于概率密度函数(PDF)理论,提出了一种以阿伦尼乌斯形式描述涂层低频阻抗与老化时间的函数表达式:TA/TN=kN/kA,式中TA和kA分别是加速试验条件下涂层寿命和老化速率系数;TN和kN分别是自然暴露条件下涂层寿命和老化速率系数。
CALDERÓN-GUTIERREZ等采用EIS评估了环氧乳香涂料在盐溶液浸泡过程中的降解行为,并以12 mHz频率下的阻抗模值为特征参数,预测了涂层的失效时间:
将涂层降解初期数据带入上式可计算得到涂料的特征衰减时间θ,结合预设的涂层失效临界阻抗模值,即可实现涂层寿命的计算。
基于宏观老化指标的寿命预测模型
围绕失光率、色差、起泡面积等宏观可测的涂层老化指标展开,通过宏观指标的变化规律构建寿命评价模型,量化涂层老化进程与服役寿命的关联。
ZHANG等选取失光率表征涂层早期的腐蚀行为,选择锈面积率评价其中后期的腐蚀行为,构建了水工金属结构有机涂层寿命评价模型,并通过保光系数与缓蚀系数,考量了腐蚀环境及拉应力对涂层寿命的影响。
在该学者另一项研究中,选择失光率、色差和起泡面积作为涂层老化指标,将起泡面积率达50%界定为涂层失效临界阈值,通过三点弯曲试验对试样施加不同水平的应力,探究应力作用对涂层降解过程的影响,并据此提出了应力系数这一特征参数。
基于老化机理与多因素的寿命预测模型
从涂层老化的物理本质出发,结合多学科理论、多环境因素耦合作用构建模型,聚焦涂层老化的核心机理与多因素影响规律。
CROLL等提出了聚焦于涂层的均匀老化过程而非偶然失效因素的涂层寿命预测框架;该框架认为,涂层老化机制源于其长期、持续暴露于环境中的累积效应,并归纳出涂层寿命T与反射率的关系式:
LATIF等采用多学科方法来模拟涂层起泡的形成和传播,评估复合涂层/金属体系中涂层的使用寿命;该模型将涂层与基体的材料及力学参数作为输入变量,计算脱粘驱动力,并结合起泡萌生的临界脱粘力综合评估涂层寿命,同时预测了暴露在腐蚀环境中涂层/金属体系的安全阶段、临界阶段与失效阶段。
涂层寿命预测物理模型基于涂层老化机理构建,相较于数学模型,该模型在特定腐蚀环境中具备普适性;但模型求解需要代入试验数据计算相关系数,其结果容易受偶然因素影响。
结束语
海洋装备防腐蚀涂层寿命预测是海洋工程领域中的重要研究课题,涉及多学科理论与技术的交叉融合。涂层寿命预测对海洋装备的涂料选型和后期维护具有重要指导意义,但目前尚未形成业内广泛认可的统一预测方法。
究其原因,现有寿命预测研究所用的涂层试样多在实验室理想条件(基材预处理充分,涂层厚度可控且涂覆固化工艺规范)下制备;而现场服役涂层的实际寿命往往由基材预处理缺陷、涂覆工艺瑕疵、固化不完全、服役过程中的机械损伤以及各种其他未知因素共同决定,并非由实验室“理想状态”主导。
因此,基于理想条件构建的涂层寿命预测物理模型,仅能提供特定环境中不同涂料防护性能的排序,针对实际海洋环境中的涂层寿命预测,需借助现代数学工具建立数学模型,挖掘多因素与涂层寿命的内在关联,以提升预测结果的工程参考价值。
在此基础上,后续研究需加强多因素耦合作用的模拟与量化分析,进一步探索智能化预测算法的工程应用,并加强与实际工程应用场景的结合,从而全面提升涂层寿命预测方法的可靠性和实用性。
作者:狄志刚,王伟杰,官自超,徐慧,赵起锋,汉继程
工作单位:1.国家涂料工程技术研究中心
2.海洋石油工业腐蚀防护重点实验室
3.中海油常州涂料化工研究有限公司
通信作者简介:王伟杰,工程师,硕士,研究方向为海洋油气设施腐蚀与防护技术。
来源:《腐蚀与防护》2026年3期
免责声明:本网站所转载的文字、图片与视频资料版权归原创作者所有,如果涉及侵权,请第一时间联系本网删除。
官方微信
《腐蚀与防护网电子期刊》征订启事
- 投稿联系:编辑部
- 电话:010-62316606
- 邮箱:fsfhzy666@163.com
- 腐蚀与防护网官方QQ群:140808415









