理解无序固体(如混凝土、岩石、陶瓷复合材料等)的断裂,是物理学、力学和材料科学的长期目标,目前,研究人员们已经确定裂纹如何扩展,从根本上取决于材料无序性(倾向于引发弥散损伤)与裂纹尖端应力集中(倾向于导致局部化扩展)之间的竞争:在高度无序的极限下,破坏类似于渗流过程;而在近乎均匀的材料中,断裂则是脆性的、确定性的。然而,在介于两者之间、更具普遍性的“中等无序”区域,材料无序性如何调控裂纹扩展,仍是一个未解之谜,其难点在于对裂纹尖端复杂损伤过程的认识有限。
2026年3月5日,材料领域的国际期刊《Physical Review Letters》上在线发表了一篇题为“Damage Scaling Laws at Crack Tip in Disordered Materials”的研究论文。在该论文中,团队通过随机晶格模型模拟(random lattice models),在裂纹尖端识别出两个连续的损伤标度律,并揭示了一个此前未被认识的“等概率损伤区”(EDZ),该区域内的损伤行为由材料无序性主导,呈现统计均匀性,其大小直接影响着裂纹的扩展,这一发现为理解准脆性材料的概率性断裂行为提供了全新的物理图像和概念框架。该论文的通讯作者为香港城市大学工学院院长、法国国家技术科学院吕坚院士。
文章链接:
https://doi.org/10.1103/crl6-wnfk
【核心内容】
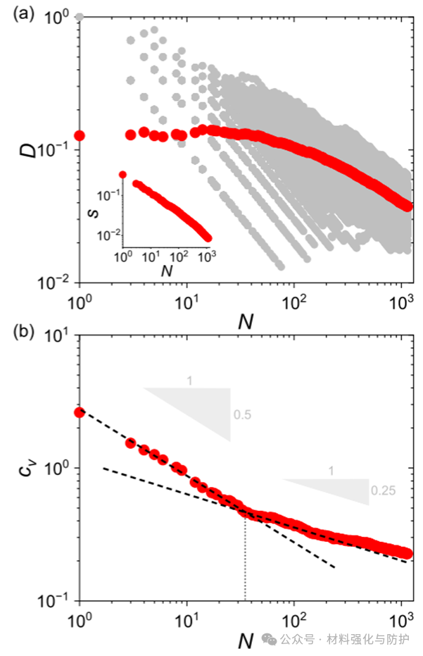
团队采用随机晶格模型模拟模拟了含初始边缘裂纹的二维无序材料,创新性地使用了裂纹尖端追踪技术,在载荷峰值时刻精确定位裂纹尖端,从而能够无歧义地分析其前方的临界损伤,分析发现,裂纹尖端前方圆形区域内的临界损伤密度变异系数(Coefficient of Variation, CV)随区域大小(N)呈现两个连续的幂律标度关系:在较小N时,标度指数为-0.5;在较大N时,标度指数转变为-0.25。这一规律揭示了断裂过程区内存在两个不同的区域:一个是由材料无序性主导的区域,损伤发生概率统计均匀;另一个则是由裂纹尖端应力场主导的区域,损伤概率随距离衰减。
(a) 含初始边缘裂纹的样本及加载方式;(b) 裂纹尖端追踪示意图;(c, d) 不同无序度下裂纹扩展时的损伤模式对比 特定无序程度(β=1.2)下临界损伤密度的统计标度行为: (a) 临界损伤密度D(灰点)及其均值(红点)随区域大小N的变化;(b) 临界损伤密度变异系数CV随N的变化,Nc为转变点
两个标度律之间的转变点Nc,定义了一个等概率损伤区的大小,研究表明,随着材料无序度增加(β减小),EDZ的尺寸扩大,在EDZ内部,梁的失效是独立同分布的伯努利试验,临界损伤密度近似服从二项分布,表现为不相关的、类渗流的损伤积累。
(a) 不同β下CV随N的变化;(b, c) β=1.4、0.8时,裂纹尖端前方晶格的损伤概率空间分布;灰色圆圈为无序主导的EDZ
团队的这项研究建立了一个新的概念框架:在无序材料中,裂纹扩展通过EDZ内不相关的损伤积累进行,EDZ分割了断裂过程区,其大小和内部的临界损伤密度均值都受材料无序度调控,并满足与二维渗流关联长度指数(ν=4/3)相关的标度律,这意味着,裂纹尖端损伤与渗流过程存在深刻联系。
(a) 等概率损伤区示意图;(b) EDZ特征尺寸Nc与无序度β的标度关系;(d) EDZ内的临界损伤密度统计分布与缩放后的二项分布对比;(e) EDZ内平均临界损伤密度与无序度的标度关系
【总结与展望】
团队在无序材料体系揭示了“等概率损伤区”的存在,该区域的存在、大小及其统计特性,从根本上反映了材料无序性在断裂中的核心作用,这一物理框架为理解准脆性材料的概率性断裂、尺寸效应以及分形裂纹面形成等复杂现象提供了统一的新视角。
免责声明:本网站所转载的文字、图片与视频资料版权归原创作者所有,如果涉及侵权,请第一时间联系本网删除。
官方微信
《腐蚀与防护网电子期刊》征订启事
- 投稿联系:编辑部
- 电话:010-62316606
- 邮箱:fsfhzy666@163.com
- 腐蚀与防护网官方QQ群:140808415








