近日,上海电力大学张大全教授团队在《Colloids and Surfaces A: Physicochemical and Engineering Aspects》上发表了题为“Enhanced inhibition for anode self-corrosion in alkaline aluminum-air battery by synergy of cetyltrimethyl ammonium bromide and 8-hydroxyquinoline-5-sulfonic acid”的研究论文。该研究通过将十六烷基三甲基溴化铵(CTAB)与8-羟基喹啉-5-磺酸(H2QS)协同引入碱性铝空气电池电解液中,构建了一种兼具界面吸附与络合成膜作用的复合缓蚀体系。结果表明,在0.6 mM CTAB + 0.5 mM H2QS的最优配比下,体系的电化学缓蚀效率高达94.19%,铝阳极的析氢速率降低至0.173 mL·min⁻¹·cm⁻²。更为亮点的是,H2QS可与Al³⁺形成荧光络合物,使该体系兼具缓蚀与状态监测潜力,为碱性铝空气电池阳极自腐蚀抑制提供了新的协同分子设计思路。
1. 研究背景
2. 研究概述
该研究采用析氢测试、开路电位、极化曲线、电化学阻抗谱、恒电流放电与间歇放电等方法评价CTAB/H2QS体系的缓蚀与放电行为,并结合SEM、元素分析、UV-Vis、荧光光谱和FTIR等手段考察界面吸附与膜层形成过程。进一步通过理论计算与分子模拟,揭示两种分子在铝表面的协同吸附机制。结果表明,在0.6 mM CTAB + 0.5 mM H2QS条件下,体系可显著降低腐蚀电流密度并改善电池放电稳定性,极化测试下缓蚀效率达到94.19%。
3. 图文解读
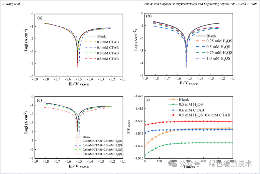
3.1 核心图1
图1 CTAB、H2QS及其复配体系下Al-5052阳极的极化曲线与开路电位曲线
讨论:极化曲线表明,单独加入CTAB后,铝阳极腐蚀电位整体正移,阳极支电流密度明显下降,说明CTAB主要通过季铵盐阳离子头基吸附于金属表面、疏水长链向外取向形成屏障层,从而抑制阳极溶解。单独加入H2QS时,腐蚀电位略向负方向移动,但阳极和阴极电流密度均下降,说明其同时抑制阴极析氢和阳极溶解。二者复配后,腐蚀电流密度进一步降低,在0.6 mM CTAB + 0.5 mM H2QS条件下达到最低值1.7 mA·cm⁻²,极化法缓蚀效率达到94.19%。与此同时,开路电位更快在约100 s内趋于稳定,说明复合添加剂促进了保护层快速形成并提高了界面钝化程度。
3.2 核心图2
图2 不同添加剂条件下Al-5052阳极的电化学阻抗谱及等效电路
讨论:阻抗谱均表现为高频容抗弧、中频感抗弧和低频容抗弧,分别对应界面电荷转移、吸附中间体行为以及表面膜层响应。加入CTAB后,界面阻抗明显增加,说明其吸附层能够阻碍电子转移;加入H2QS后,低频区响应增强,表明其有助于表面保护膜形成。更关键的是,复配体系的容抗弧半径显著大于单组分体系,说明H2QS的存在促进了CTAB在铝表面的黏附和铺展,使复合膜层更致密、更均匀。0.6 mM CTAB + 0.5 mM H2QS对应最高的极化电阻增幅,表明该配比下协同缓蚀作用最强。
3.3 核心图3
图3 不同添加剂条件下Al-5052阳极的恒电流放电与间歇放电曲线
讨论:恒电流放电结果显示,加入复合添加剂后,Al-5052阳极的放电电位整体向更负方向移动,在0.6 mM CTAB + 0.5 mM H2QS条件下达到约−1.487 V,且放电平台更加平稳。这说明复合膜层虽然提高了界面阻抗、减缓了非放电腐蚀反应,但并未破坏有效放电所需的电化学活性。间歇放电曲线进一步表明,复配体系在多次开路—放电循环过程中仍可维持稳定的电位响应和较好的恢复能力,说明界面保护层具有较好的动态稳定性。论文据此认为,CTAB/H2QS体系在抑制析氢自腐蚀的同时改善了阳极有效利用过程,从而提升了电池放电稳定性。
3.4 核心图4
图4 不同添加剂处理后Al-5052表面的SEM形貌对比
讨论:SEM结果表明,空白电解液中铝表面裂纹明显且腐蚀产物大量堆积,说明金属直接暴露于碱性介质后快速形成并脱落氧化物层,进一步加剧局部腐蚀。加入CTAB后,表面检测到Br元素,说明CTAB已吸附于铝表面并形成一定的有机屏障;加入H2QS后,表面出现S元素,表明H2QS参与了界面络合膜构建,但单独H2QS形成的膜层仍不够致密。复配体系下同时检测到Br和S元素,且裂纹数量和腐蚀产物均明显减少,说明CTAB与H2QS共同在铝表面形成了更完整的复合保护层,从形貌和元素组成两方面验证了协同成膜机制。
3.5 核心图5
图5 CTAB/H2QS体系的UV-Vis、荧光与FTIR表征结果
讨论:UV-Vis结果显示,体系在359 nm附近均存在特征吸收峰;与仅含CTAB的溶液相比,复配体系吸收强度减弱而峰位基本不变,说明H2QS促进了CTAB向铝表面的吸附,但并未改变溶液中的主反应路径。荧光测试表明,含H2QS体系在阳极放电后出现明显荧光发射,说明H2QS可与Al³⁺形成荧光络合物;加入CTAB后荧光峰位置基本不变但强度下降,说明更多H2QS参与界面吸附和复合膜构筑。FTIR进一步给出结构证据:CTAB特征峰对应其季铵盐和烷基链振动,而复配体系中775–777 cm⁻¹附近的峰以及1649 cm⁻¹向1362 cm⁻¹的位移表明H2QS嵌入了CTAB吸附层;O–H伸缩区由3438 cm⁻¹向3409 cm⁻¹展宽,也说明界面疏水性增强。综合来看,光谱结果直接支持了“CTAB构建疏水层、H2QS填充并致密化膜层”的协同机制。
3.6 核心图6
图6 CTAB与H2QS协同抑制铝阳极自腐蚀的机理示意图
讨论:分子动力学结果表明,H2QS、CTAB及其复合体系在Al(111)表面的吸附能均随时间下降并逐渐稳定,其中复合体系的绝对吸附能最高,约为−760 kcal/mol,明显高于单一H2QS(约−700 kcal/mol)和单一CTAB(约−670 kcal/mol)。这说明二者在铝表面具有更强的协同吸附倾向。论文认为,这种增强作用来源于CTAB阳离子头基与H2QS极性基团之间的静电互补,以及疏水链段在空间排布上的优化。具体到机理上,CTAB先通过亲水头基占据表面活性位点,疏水尾链向外形成屏障层;H2QS则通过酚羟基氧和吡啶氮与Al³⁺配位,同时借助磺酸基与CTAB发生静电协同,从而填补单一CTAB膜层覆盖不足的缺陷,最终构筑出更均匀、更紧密的复合保护膜。
4. 结语
该工作说明,界面疏水屏障与配位络合保护可以在同一电解液添加剂体系中实现协同耦合,从而显著提升碱性铝空气电池阳极的抗腐蚀能力。值得注意的是,H2QS与Al³⁺形成的荧光络合物还赋予该体系一定的状态监测潜力,为兼具“防护+监测”功能的智能型电解液添加剂设计提供了新思路。
上海电力大学张大全教授团队,由张大全教授、郑红艾副教授、李瑾副教授、吴伟副教授组成。深耕金属防腐、应用电化学等领域,承担国家级项目多项。团队科研氛围浓厚,已培养多名优秀硕士投身名校与名企。
免责声明:本网站所转载的文字、图片与视频资料版权归原创作者所有,如果涉及侵权,请第一时间联系本网删除。
官方微信
《腐蚀与防护网电子期刊》征订启事
- 投稿联系:编辑部
- 电话:010-62316606
- 邮箱:fsfhzy666@163.com
- 腐蚀与防护网官方QQ群:140808415









