航空发动机是衡量国家工业实力的重要标志,其性能提升始终是国际高端制造领域的竞争焦点。随着其推重比持续提升,涡轮前进口温度已突破1600 ℃,远超高温合金耐热极限。热障涂层作为热端部件核心防护技术,能够有效降低基体温度,抵御高温氧化与热腐蚀,是保障发动机长寿命、高可靠运行的关键。
然而,现役氧化钇部分稳定氧化锆(YSZ)陶瓷面层在超高温环境下面临烧结加速、相变失稳等难题,更易受到熔融硅酸盐沉积物(CMAS)腐蚀。严重破坏涂层微观结构、丧失热防护性能,成为制约发动机性能提升的瓶颈。开发兼具超高温稳定性与优异抗CMAS腐蚀性能的新型热障涂层材料,既是突破航空发动机热防护 “卡脖子”技术的核心路径,也是实现我国航空高端装备自主可控的重要战略需求。
针对这一重大需求,松山湖材料实验室先进陶瓷材料团队刘会军研究员长期深耕高熵稀土氧化物陶瓷热障涂层材料研究,系统揭示了高熵组元、构型熵、光学碱度及相结构对材料热物性、热稳定性和抗CMAS腐蚀性能的作用机制,创新性提出光学碱度与构型熵协同优化的材料调控策略,实现了高熵稀土锆酸盐关键性能的显著提升,系列成果已先后发表于Corrosion Science, 2025, 250: 112904, Journal of the European Ceramic Society, 2025, 45: 117466, Journal of Materials Science & Technology, 2026, 258: 45-60, Corrosion Science, 2026, 260: 113543, Journal of the American Ceramic Society, 2026, 109: e70669等国际权威期刊,为新型热障涂层材料的研发奠定了坚实的理论基础。
(一)通过精准调控稀土组元种类与配比实现高熵稀土锆酸盐热物性与抗腐蚀性协同提升
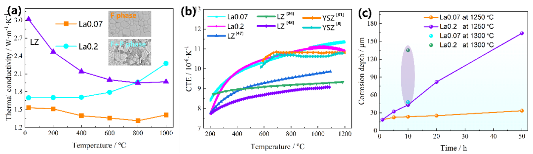
首先,研究人员设计合成了两种不同配比的高熵陶瓷材料——(La0.07Nd0.07Tm0.26Yb0.3Lu0.3)2Zr2O7(La0.07)与(La0.2Nd0.2Tm0.2Yb0.2Lu0.2)2Zr2O7 (La0.2),并深入揭示了稀土元素组成对腐蚀性能的调控机制。研究发现,La0.07样品形成单相缺陷萤石结构,而La0.2样品形成缺陷萤石与烧绿石双相结构。CMAS腐蚀测试表明,La0.07的抗腐蚀性能显著优于La0.2,在1250℃下腐蚀50 h后,La0.07的反应层厚度仅33.5μm,而La0.2在相同条件下腐蚀5 h就达到32.1 μm,前者抗腐蚀能力约为后者的十倍。关键原因在于,La、Nd等大离子半径轻稀土元素易与CMAS中的Ca、Si反应生成磷灰石相,这是加速腐蚀的主要驱动力,降低其含量可显著提升材料抗腐蚀性能。
图 1 两种不同配比的高熵陶瓷的(a)热导率,(b)热膨胀系数与(c)CMAS腐蚀深度随时间的变化
上述研究工作以“The role of La and Nd in enhancing CMAS corrosion resistance of high-entropy (La, Nd, Tm, Yb, Lu)2Zr2O7 thermal barrier coating materials”为题发表在陶瓷领域权威期刊《Journal of the European Ceramic Society》。
原文链接 https://doi.org/10.1016/j.jeurceramsoc.2025.117466
随后,研究人员创新性地选用五种小离子半径重稀土元素(Ho、Er、Tm、Yb、Lu),成功制备出单相缺陷萤石结构的(Ho0.2Er0.2Tm0.2Yb0.2Lu0.2)2Zr2O7高熵陶瓷。该材料展现出均衡卓越的综合性能:1000 ℃时热导率低至1.57 W·m-1·K-1,远优于传统YSZ及单一稀土锆酸盐;热膨胀系数达10.96 ×10-6·K-1,与发动机金属粘结层适配性良好;在1300 ℃经200 h热暴露后仍保持结构稳定,抗烧结性能优异。尤为突出的是其抗CMAS腐蚀能力,1300 ℃下20 h反应层厚度仅51 μm,远低于现有同类高熵陶瓷材料,成为当时报道中抗CMAS腐蚀性能最优的热障涂层候选材料之一。 深入研究表明,两款新型材料的优异抗腐蚀性能均与光学碱度密切相关。重稀土氧化物的光学碱度与CMAS差异更小,化学反应活性更低,且不易形成磷灰石相;同时高熵效应带来的晶格畸变与迟滞扩散效应,进一步抑制了CMAS熔体的渗透与离子扩散。
图 2 (a)(Ho0.2Er0.2Tm0.2Yb0.2Lu0.2)2Zr2O7高熵陶瓷在1300 ℃熔融CMAS腐蚀20 h后的截面形貌,(b)典型HE-REZs在1250和1300 ℃的腐蚀深度随时间的变化
上述研究工作以“A novel (Ho0.2Er0.2Tm0.2Yb0.2Lu0.2)2Zr2O7 high-entropy ceramic with excellent CMAS corrosion resistance for thermal barrier coatings”为题发表在腐蚀领域顶级期刊《Corrosion Science》。
原文链接 https://doi.org/10.1016/j.corsci.2025.112904
(二)超多元组份设计与高熵效应协同提升材料性能
研究人员通过超多元组分设计、光学碱度调控与高熵策略协同融合,成功研发出(12RE1/12)2Zr2O7和(10RE1/10)2Zr2O7两款高熵陶瓷材料。材料在低导热、抗烧结、抗CMAS腐蚀等核心性能上实现跨越式提升,为1600 ℃以上超高温航空发动机热防护提供了高性能解决方案。 十二元高熵陶瓷:综合性能均衡的升级方案 该材料首次将La、Nd、Sm、Eu、Gd、Dy、Y、Ho、Er、Tm、Yb和Lu按等摩尔比引入锆酸盐体系,制备出单相萤石结构,构型熵高达2.49R的(12RE1/12)2Zr2O7。超高构型熵使其在1300 ℃热暴露200 h后,平均晶粒生长速率仅为 0.5 nm/h,抗烧结能力极强。研究首次揭示了稀土氧化物光学碱度(OB)与离子半径正相关,并明确OB是调控CMAS腐蚀行为的关键因素。超多元组分设计通过“高构型熵诱导晶格畸变→减缓离子扩散→抑制腐蚀反应”机制,使材料在保持低导热、高热膨胀特性的同时,抗CMAS腐蚀性能显著提升。
图3 (a)稀土氧化物的光学碱度,(b)稀土离子的半径与(c) (12RE1/12)2Zr2O7高熵陶瓷粉体及元素面分布图
上述研究工作以“Ultra-multicomponent high-entropy (12RE1/12)2Zr2O7 ceramics with enhanced performance and CMAS corrosion resistance”为题发表在《Journal of Materials Science & Technology》。
原文链接 https://doi.org/10.1016/j.jmst.2025.08.057
十元高熵陶瓷:极致抗腐蚀的热防护新选择
该材料精选Sm、Eu、Gd、Dy、Y、Ho、Er、Tm、Yb和Lu,共10种低光学碱度稀土元素,合成出单相缺陷萤石结构高熵陶瓷。性能测试显示其全方位优势:1000 ℃时热导率低至1.54 W·m-1·K-1;1200 ℃时热膨胀系数达10.92 ×10-6·K-1;1500 ℃热暴露200 h后仍保持单相结构,晶粒生长速率仅为8.5 nm/h。尤为突出的是,1300 ℃腐蚀 50 h 后反应层厚度仅40.3 μm,优于现有同类材料,成为当前抗CMAS腐蚀性能最优的HE-REZs热障涂层候选材料,其腐蚀机制如图4所示。
图4 (10RE1/10)2Zr2O7高熵陶瓷的CMAS腐蚀机制示意图
上述研究工作以“Synergistic enhancement of CMAS corrosion resistance in rare-earth zirconate via optical basicity regulation and high-entropy strategy”为题发表在腐蚀领域顶刊《Corrosion Science》。
原文链接 https://doi.org/10.1016/j.corsci.2025.113543
两款材料的核心创新在于揭示了“光学碱度调控+高熵效应”的协同增强机制:低光学碱度降低与CMAS的化学反应活性,高构型熵引发严重晶格畸变,显著抑制离子扩散与磷灰石相生成,双重作用共同赋予材料卓越的抗腐蚀性能。
(三)高熵稀土铈酸盐使航空发动机热防护性能再攀高峰
近日,研究人员成功制备出(Ho0.2Er0.2Tm0.2Yb0.2Lu0.2)2Ce2O7高熵稀土铈酸盐陶瓷材料,兼具低导热、高热膨胀、超高温稳定与优异抗CMAS腐蚀性能,为1400 ℃以上航空发动机热障涂层提供了新方案。 该陶瓷在1300 ℃、1400 ℃的熔盐腐蚀环境中,腐蚀层厚度始终低于20±3.8 μm,且50 h后趋于稳定,抗腐蚀性能远优于现有报道的高熵稀土锆酸盐及单一稀土铈酸盐材料。其优异的抗腐蚀性能源于三大核心机制:一是腐蚀前沿快速形成连续致密的高熵磷灰石型阻挡层,抑制CMAS熔体的渗透及组分互扩散;二是迟滞扩散效应显著降低陶瓷组分离子在CMAS熔体中的溶解速率;三是Ce3+稳定存在于磷灰石晶格中,通过替代Ca2+形成均匀的单相结构,避免析出CeO2。
图5 (a) (Ho0.2Er0.2Tm0.2Yb0.2Lu0.2)2Ce2O7高熵陶瓷与典型HE-REZ、HE-REC在1300℃下的腐蚀深度随时间的变化曲线,以及(Ho0.2Er0.2Tm0.2Yb0.2Lu0.2)2Ce2O7在(b)1300 ℃和(c)1400 ℃熔融CMAS膜下腐蚀20 h后的截面SEM图
该研究揭示了铈的多价态特性对熔盐抗腐蚀的调控机制,为设计超高温抗腐蚀热障涂层建立了新理论范式。该材料凭借综合性能优势,成为下一代航空发动机热障涂层顶层材料的核心候选者,有望从根本上解决超高温工作环境下的涂层腐蚀难题。 相关研究成果以“(Ho0.2Er0.2Tm0.2Yb0.2Lu0.2)2Ce2O7: A promising thermal barrier coating material with superior CMAS corrosion resistance”为题,发表于国际陶瓷领域权威期刊《Journal of the American Ceramic Society》。
原文链接 https://doi.org/10.1111/jace.70669
上述研究得到了松山湖材料实验室前沿科学研究启动基金与广东省基础与应用基础研究基金(2021A1515010466,2022A1515140146,2026A515010363)的经费支持。
免责声明:本网站所转载的文字、图片与视频资料版权归原创作者所有,如果涉及侵权,请第一时间联系本网删除。
官方微信
《腐蚀与防护网电子期刊》征订启事
- 投稿联系:编辑部
- 电话:010-62316606
- 邮箱:fsfhzy666@163.com
- 腐蚀与防护网官方QQ群:140808415








