具有持久防污和抗菌性能的涂层对于保护潮湿和受污染环境中的材料至关重要。聚氨酯(PU)涂层因其优异的化学稳定性、机械性能和热稳定性而备受关注。然而,传统溶剂型聚氨酯释放的挥发性有机化合物(VOCs)可能会造成环境问题。水性聚氨酯(WPU)以水为分散介质,具有更高的环保性和安全性,符合可持续发展需求。因此,开发具有高疏水性、耐磨性和抗菌性能的多功能WPU涂层仍具有挑战性。
在WPU中引入含氟链段是提高其疏水性的常用方法。然而,含氟化合物的高稳定性可能会对土壤微生物和人类健康构成潜在风险。此外,全氟烷氧基树脂(PFA)和聚乙烯-四氟乙烯共聚物(ETFE)等含氟材料价格昂贵,限制了其大规模生产。为避免含氟化合物的缺陷,大多数研究已转向低表面能硅烷化合物作为替代品。然而,硅烷化合物通常功能有限且可能具有刺激性。相比之下,聚二甲基硅氧烷(PDMS)是一种低毒性、低成本的硅酮聚合物添加剂,其柔性硅氧烷主链可赋予材料柔韧性和弹性。此外,由于其低表面能,PDMS在高温下可迁移到材料表面,降低表面能,提高WPU的光滑度。然而,由于相分离和表面富集不足,仅靠PDMS提供的疏水性增强往往有限,这限制了WPU涂层的长期防污性能。此外,PDMS与WPU之间的相容性问题可能会限制其生产和应用。过量引入PDMS会损害机械性能。因此,建立一种既能提高疏水性又能保持加工性能和机械完整性的平衡策略,仍是WPU涂层面临的关键挑战。
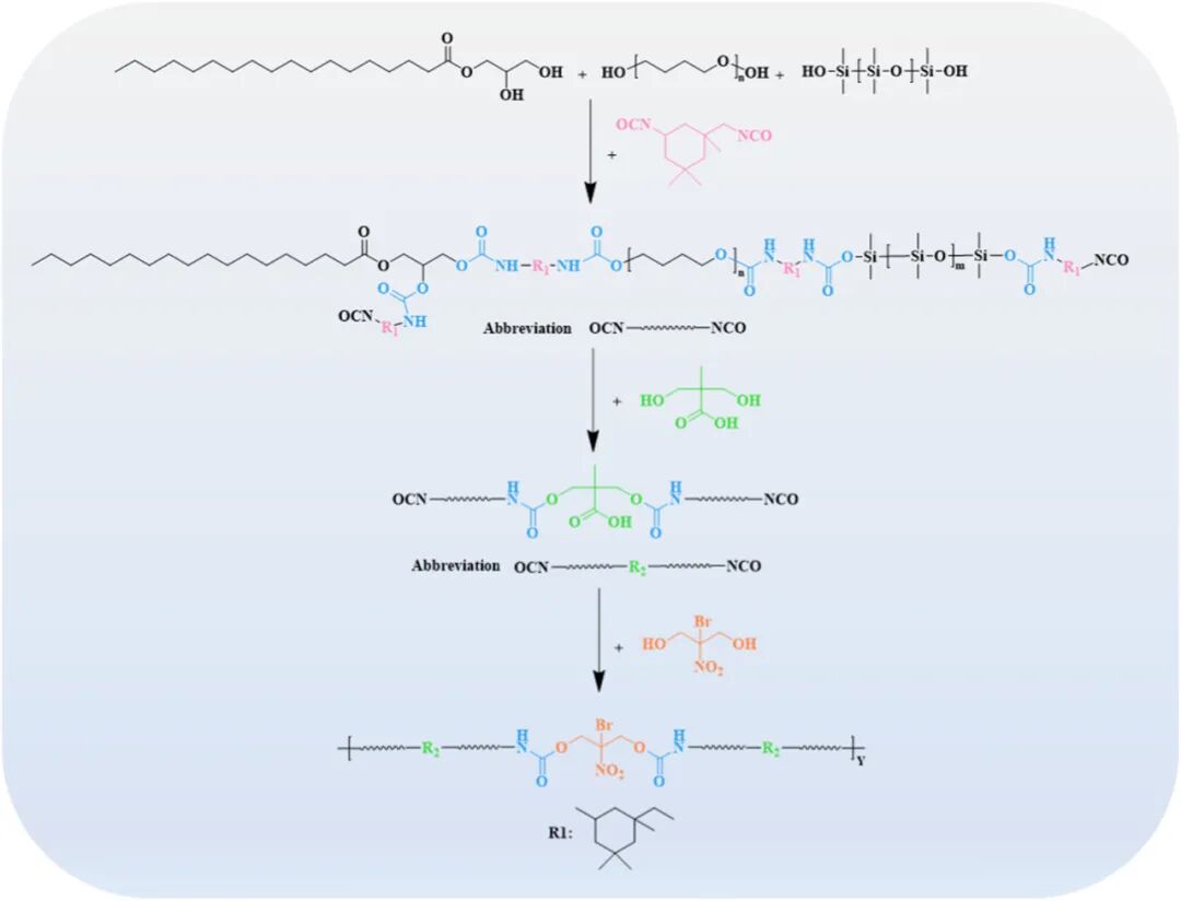
单硬脂酸甘油酯(GMS)是一种非离子型表面活性剂,广泛应用于食品、化妆品和制药行业。值得注意的是,GMS含有亲水性甘油基团,使其能够作为乳化剂和稳定剂。同时,其疏水性硬脂酸链和长烷基结构也有助于防水。GMS固有的双-OH基团可以与-NCO反应,使其能够与WPU主链共聚。
此外,WPU涂层在实际应用中容易滋生细菌,这可能会在医疗环境、食品包装和经常接触的日常表面中引发卫生和安全问题。因此,赋予WPU抗菌性能已成为当前功能性聚合物材料的关键研究重点。然而,许多抗菌WPU系统依赖于物理混合的试剂,这可能会面临浸出和长期抗菌稳定性有限的问题。因此,一些研究通过接枝反应引入抗菌剂,赋予材料持久的抗菌性能。布罗波尔(Bronopol)作为一种高效的杀菌剂,易溶于水,适用掺入和应用各种水基系统。它对革兰氏阴性菌和革兰氏阳性细菌都有很强的抑制作用。此外,它的分子结构中含有两个羟基,能够与-NCO基团发生反应。这使其能够整合到WPU的分子链中。与传统的物理共混策略相比,将布罗波尔化学结合到聚合物主链中,可以有效抑制浸出并提高长期的抗菌持久性。
近期,四川大学蒋元章团队采用预聚物合成策略,成功制备了一种适用多种基材的具有持久防污和抗菌性能的无氟水性聚氨酯涂层。
以布罗波尔(Bronopol)作为抗菌成分,将聚二甲基硅氧烷(PDMS)、单硬脂酸甘油酯(GMS)和2,2-二羟甲基丙酸(DMPA)加入到WPU聚合物链中,制得GWSiPU涂层。 当含有4wt% PDMS和20wt% GMS时,所制得的涂层综合性能最佳,表现出持久的防污性能和优异的抗菌性能,对大肠杆菌和金黄色葡萄球菌的抗菌率达到99.9%。将该涂层涂覆在棉织物上后,该涂层织物表面高度疏水,水接触角(WCA)大于145°,各种液滴在织物上停留长达10分钟也不会完全渗透。该涂层织物还具有优异的透气性、耐磨性和耐洗性,即使经过50次磨损和洗涤循环后,WCA仍保持在140°以上,使织物具有抗细菌附着的性能。此外,该涂层还可以使木材上的液滴迅速脱落,并在3.5wt% NaCl溶液中浸泡30天后防止金属腐蚀。 本研究展示了一种无氟策略,用于构建具有抗菌活性、防污性能和长期耐久性的多功能水性聚氨酯涂层,适用于多种基材,在实际应用中具有巨大的潜力。 合成示意图及方程式 抗菌疏水涂层合成示意图及相关方程式。 涂层织物示意图 涂层织物示意图。 木材涂层示意图 (a)木材涂层机制示意图;(b)涂覆与未涂覆涂层的木板在防污效果方面的对比图。 防腐机理示意图 (a)金属板防腐机理示意图;(b)金属板在氯化钠溶液中浸泡30天前后对比图。 数据来源与出处 相关研究成果以“Fluorine-free bronopol-functionalized waterborne polyurethane with durable antifouling and antibacterial properties for multisubstrate coating applications”为标题发表在《Progress in Organic Coatings》上。 如需查看原论文,请关注公众号后扫描下方二维码添加涂涂获取。 【声明】版权归原作者所有,建议感兴趣者阅读原文,感谢您的支持和关注。欢迎转发和转载,请在显著位置标明出处。欢迎您提出宝贵建议,任何事宜请联系管理员。长期招聘编辑、投稿及合作请扫描下方二维码。
免责声明:本网站所转载的文字、图片与视频资料版权归原创作者所有,如果涉及侵权,请第一时间联系本网删除。
官方微信
《腐蚀与防护网电子期刊》征订启事
- 投稿联系:编辑部
- 电话:010-62316606
- 邮箱:fsfhzy666@163.com
- 腐蚀与防护网官方QQ群:140808415








